线性代数,特征值与矩阵的秩之间的关系,证明和求通解
线性代数,特征值与矩阵的秩之间的关系,证明和求通解
我们给出一道实例,通过例题来帮助理解

做题之前先审题,第一小题很容易就做出来了
题目给出了两个信息,第一个,是矩阵A有3个不同的特征值
由此可以得到矩阵A可以对角化,与对角矩阵P{λ1,λ2,λ3}相似
第二个条件,就是α3=α1+2α2
可以得到

图二
由此可知,A的其中一个特征值便为0
由于三个特征值不同,说明其他两个特征值都不为零,那么它的对角矩阵P为{λ1,λ2,0}
因为相似,所以可以得到r(P)=r(A)=2
第二小题,要根据第一小题来做了
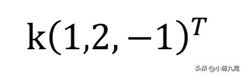
要求Ax=β的通解,我们先来看看Ax=0的通解
很明显,通过条件α3=α1+2α2可以得到Ax=0的通解,如下图所示

图三
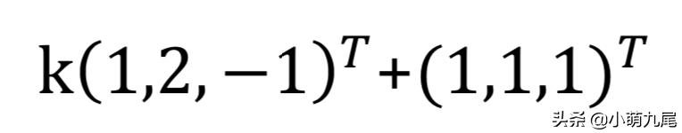
再根据β=α1+α2+α3可以得到

图四
即为

图五
那么最后就可以得到Ax=β的通解为

图六
详细解题过程如下图所示

图七,详细步骤如图
-
- 天津又有一条地铁将直通机场,这些站点经过你家吗?
-
2024-12-14 07:24:59
-
- 跟我一起游东北:第九天4-满洲里火车站
-
2024-12-14 07:22:45
-
- 赣南脐橙的简介
-
2024-12-14 07:20:30
-
- 钞票人民币表情包|整理分享
-
2024-12-14 07:18:15
-
- ysl圣罗兰哑光唇釉12号是什么颜色 哑光唇釉12号试色
-
2024-12-14 07:16:00
-
- K1259次列车运行线路:辽宁锦州开往内蒙古满洲里,全程1557公里
-
2024-12-14 07:13:46
-
- 马苏与pgone真实关系,为何曝光只有李小璐?这是什么情况?
-
2024-12-14 00:29:58
-
- 张国荣到底有多帅,放大照片之后你就会知道,这才是颜值担当
-
2024-12-14 00:27:43
-
- 语笑嫣然,郑湫泓高清美图
-
2024-12-14 00:25:29
-
- 一心只蹦圣贤迪扇子壁纸全集 社会人佛系蹦迪包
-
2024-12-14 00:23:14
-
- 微信客服如何寻找
-
2024-12-14 00:20:59
-
- 童声诵经典-《水调歌头》
-
2024-12-14 00:18:44
-
- 什么是跳码??
-
2024-12-14 00:16:30
-
- 日常吸猫表情包合集第二弹,再来吸啊!
-
2024-12-14 00:14:15
-
- 让我来告诉你什么是高冷
-
2024-12-14 00:12:00
-
- 其实有些你曾经深信不疑的其实根本就没有
-
2024-12-14 00:09:45
-
- 中小学寒假放假时间新鲜出炉
-
2024-12-13 17:03:43
-
- 中国模特之星大赛冠军何穗高清写真图集
-
2024-12-13 17:01:28
-
- 有人说貔貅不是龙的儿子!而是龙的孙子?
-
2024-12-13 16:59:13
-
- 婴儿的体重增长标准表,告诉你答案
-
2024-12-13 16:56:58



华生经济学家几任妻子
达西妈妈4-6岁女童开衫毛衣织法