高等数学,中值定理之拉格朗日定理,证明
高等数学,中值定理之拉格朗日定理,证明
拉格朗日中值定理定义
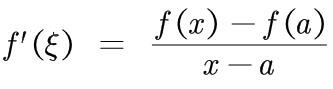
下面是拉格朗日定理的具体定义:

以下是其等价形式:

对其进行扩展,可得以下式子(端点变为变量):

我们进行拆解,定理成立需要两个条件:
f(x)在[a,b]上连续f(x)在(a,b)内可导
有以上两个条件,即可使用拉格朗日定理进行求解数学问题。
拉格朗日中值定理证明
证明此定理需要找一个辅助函数,怎么找呢?
首先,假设有曲线y=f(x)满足上述两个条件。
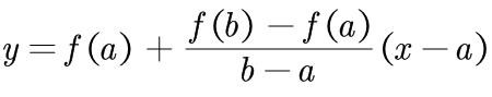
然后,另设一条直线经过(a,f(a)),(b,f(b))两点,那么其表达式为如下所示:

好了,那么我们的辅助函数呼之欲出:h(x)=曲线-直线,证明如图所示:

这里我们可以发现,当f(b)=f(a)时,拉格朗日定理变为罗尔定理。
相关标签:
-
- 崔珉豪金俊绵好基友关系曝光 曾一同留学中国
-
2026-01-05 05:56:53
-
- 世界经典战役-上甘岭战役
-
2026-01-05 05:54:38
-
- 红磨坊:巴黎顶级歌舞场所
-
2026-01-04 22:27:09
-
- 韩冰勾手白衣男状似亲昵,韩国瑜:那是亲戚,韩冰待字闺中
-
2026-01-04 22:24:55
-
- PDD已停播三个多月 停播原因或是被质疑使用外挂
-
2026-01-04 22:22:41
-
- Line在中国服务中断终于有了官方解释:反恐
-
2026-01-04 22:20:26
-
- 256G固态+1T机械或是电脑硬盘最佳解决方案
-
2026-01-04 22:18:12
-
- 做电商,你们组稿一个月赚多少?
-
2026-01-04 22:15:58
-
- 走进广州白天鹅宾馆
-
2026-01-04 22:13:43
-
- 战队头像限时来袭 一言不合买买买!
-
2026-01-04 22:11:29
-
- 调查:迪拜目前拥有13位亿万富翁和67900位百万富翁
-
2026-01-04 22:09:15
-
- 收假首日余新齐率领部分骨干会员向马氏集团马胜利董事长拜新春
-
2026-01-04 22:07:00
-
- 美国女足vs中国女足全场数据:射门数20-1,射正数11-1
-
2026-01-04 14:39:31
-
- 健身解剖学知识(三角肌和肩袖肌群)
-
2026-01-04 14:37:16
-
- 富士康被查后,郭台铭首次现身,向妈祖祈求三件事
-
2026-01-04 14:35:02
-
- 成龙的女儿小龙女,身材显瘦,一头红发像极了一个青春叛逆的女孩
-
2026-01-04 14:32:48
-
- YSL圣罗兰粉底液如何选择
-
2026-01-04 14:30:34
-
- 11.11的惨淡收场,取消12.12也不足为奇了
-
2026-01-04 14:28:19
-
- 朱怀冰简介 朱德与朱怀冰
-
2026-01-04 14:26:05
-
- 周震南父亲再次被列为老赖,股权冻结金额高达9300万
-
2026-01-04 14:23:51



《风筝》中钱部长的原型:割喉明志、痛扇叛徒,不怕鬼的女包公
易立竞哪年出生的